在线咨询
Guangzhou Forreal Biotechnology Co., Ltd.
咨询电话:(+86)020-32286500
新闻资讯 / News
关键字搜索:
钙卫蛋白联合隐血检测在大肠息肉/腺瘤筛查上的应用
来源: | 作者:pmo26d9bb | 发布时间: 2021-02-23 | 1029 次浏览 | 🔊 点击朗读正文 ❚❚ | 分享到:

大肠癌发展历程分为不同阶段(以腺瘤-癌路径为例):息肉、腺瘤、腺癌、大肠癌。大肠息肉/腺瘤具有不同程度的癌变几率。息肉/腺瘤阶段治疗手段简单,医疗费用低,生存率高。大肠癌早期诊断,应包含息肉/腺瘤阶段筛查。粪便钙卫蛋白作为肠道炎症特异性标志物,其与息肉/腺瘤相关性强,灵敏度较高。粪便钙卫蛋白可作为大肠息肉/腺瘤的筛查标志物。



1、大肠癌发病三条路径

     大肠癌发病路径主要分为三条:腺瘤-癌、炎症-癌症、de-novo路径。

图片

       1)  三条路径中,“腺瘤-癌”路径约占发病率的80%。“腺瘤-癌”路径又分为“常规腺瘤-癌”路径和“锯齿状腺瘤-癌”路径。有较多报道认为“腺瘤-癌”的发病起因染色体上的系列变异。染色体变异包括:微卫星不稳定、染色体异常、癌症信号通路基因甲基化突变、相关癌症基因启动子甲基化突变等几十种因素单一或共同影响。

       2)“炎症—癌”路径,主要又分为:“炎症性肠炎-癌”和“炎症性息肉-癌”路径。炎症性肠炎已经被列入大肠癌癌前病变范畴。因此炎症性肠炎也属于筛查目标。



2、大肠癌筛查目标

       整个大肠癌发展历程分为癌前病变和癌症两个阶段。降低大肠癌发病率的主要手段应将大肠癌筛查目标定为癌前病变阶段。因此,以息肉/腺瘤为筛查目标,可降低大肠癌发病率。



3、粪便钙卫蛋白与息肉/腺瘤相关性强

       粪便血红蛋白(FIT)作为大肠癌筛查的初筛方法得多国内外众多专家认可。粪便血红蛋白与大肠癌相关性强,敏感度高。可作为很好的初筛手段。而在癌前病变阶段,尤其是息肉/腺瘤阶段,相比粪便血红蛋白检测,粪便钙卫蛋白表现出更高的敏感度和相关性。17年“美国预防服务工作组  (USPSTF)”关于大肠癌筛查的最新指南指出,粪便血红蛋白对与锯齿状息肉/腺瘤筛查敏感度低,不适用于锯齿状息肉/腺瘤筛查。


图片

                      17年版美国预防服务工作组关于大肠癌筛查指南


                         图片

                   粪便血红蛋白(FIT)与锯齿状息肉/腺瘤敏感度低或不敏感

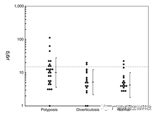
        粪便钙卫蛋白检测与不同类型息肉相关。有文献报道粪便钙卫蛋白与锯齿状息肉/腺瘤敏感度较高。

                               图片

       Raffaele Pezzilli 等(2008)研究表明,锯齿状息肉组样本的FC含量与正常人相比差异显著(P=0.003)。粪便钙卫蛋白检测可用于检测锯齿状息肉。



4、FIT联合FC检测的优势

        制定大肠癌筛查目标,是选用不同筛查方法的基础。我们就FIT联合FC检测息肉/腺瘤和大肠癌(癌症)阶段做了不同检测。

       样本分为:息肉/腺瘤和大肠癌(癌症)两个不同阶段。


图片

       息肉/腺瘤组,检测结果表明,FIT对于息肉/腺瘤检测阶段敏感度为67.7%。FC检测敏感度为84.4%。两者联合检测提高敏感度为92%。


图片

        大肠癌组,表明FIT和FC都具有较高敏感度。FIT和FC敏感度差异不大。

        各个国家都开展了大肠癌筛查的政府项目。制定不同筛查目标,决定了不同的筛查方法学。以上数据表明,如果以大肠癌(癌症)为筛查目标,FIT和FC的筛查敏感度差异不大。但在癌前病变—息肉/腺瘤阶段,FC则表现为较高的敏感度。

      以癌前病变为筛查目标(息肉/腺瘤),联合FIT和FC作为筛查手段,表明具有更高的筛查敏感度。



参考文献:

1.ChettyR, et al. J Clin Pathol 2015;0:1–4.

2.Mashaal Dhir,et al. Int J Cancer. 2011 October 15; 129(8): 1889–1898.

3.AmyE. Noffsinger, et al. Annu. Rev. Pathol. Mech. Dis. 2009. 4:343–64

4.BarbaraLeggett. GASTROENTEROLOGY 2010;138:2088–2100

5.AfsanehBarzi, et al. Clin Cancer Res. 2013 November 1; 19(21): .doi: 10.115 8 /1078-0432.CCR-13-0325.

6.Dmitriy Kedrin, et al. Clinical and Translational Gastroenterology (2015) 6,e84; doi:10. 1038/c tg.2

7.N Engl J Med 2015;372:1441-1445

8.RaffaelePezzilli,et al. DigDis Sci (2008) 53:47–51

当前位置: